We know that young people’s mental health has been declining around the world in recent years. We also know that young people’s services tend to be the first cut when budgets are reduced, because they are seen to have less urgent needs than, for example, older people. However, until now, we didn’t know much about what effect reducing services and opportunities for young people might be having on their mental health – or how that might vary from place to place.
Existing evidence
In the UK, the prevalence of a likely mental disorder in 17-19-year-olds rose from 10.1% in 2017 to 17.7% in 2020. For 7-16-year-olds, it rose from 12.1% in 2017 to 16.7% in 2020. We know this is something that needs tackling, because adolescents with poor mental health are at increased risk of social exclusion, discrimination, stigma, poor educational outcomes, risk taking behaviour and poor physical health. Also, about 75% of adults with a diagnosable mental health condition had their first onset of poor mental health during adolescence and young adulthood.
Services for young people were particularly affected by the austerity which followed the 2008 financial crisis. Every region of England saw funding cuts for youth services by at least 60% with some areas such as the North West facing cuts of 74%, the North East 76% and the West Midlands 80%. Funding was also cut for sexual health services (used most by 16-15-year-olds), and schools.
There is evidence that austerity worsens mental health, contributes to rising inequalities in mental health, and increases poor health in children and the likelihood of long-term negative outcomes. However, policies to tackle the problems have focused on improving access to treatment and early identification by schools and the wider community, ignoring the social forces which determine health, such as poor-quality housing, food insecurity, and lack of high-quality employment.
Using the data
Our hypothesis was that reductions in local authority funding may have had a direct impact on the financial position of households around the UK. This, in turn, could have affected the mental health of people aged 16-25. We also expected to see regional differences based on varying levels of cultural, educational opportunities, green space, children and youth services in some areas. In other words, mental health might be worse, and get worse, in areas which are already deprived.
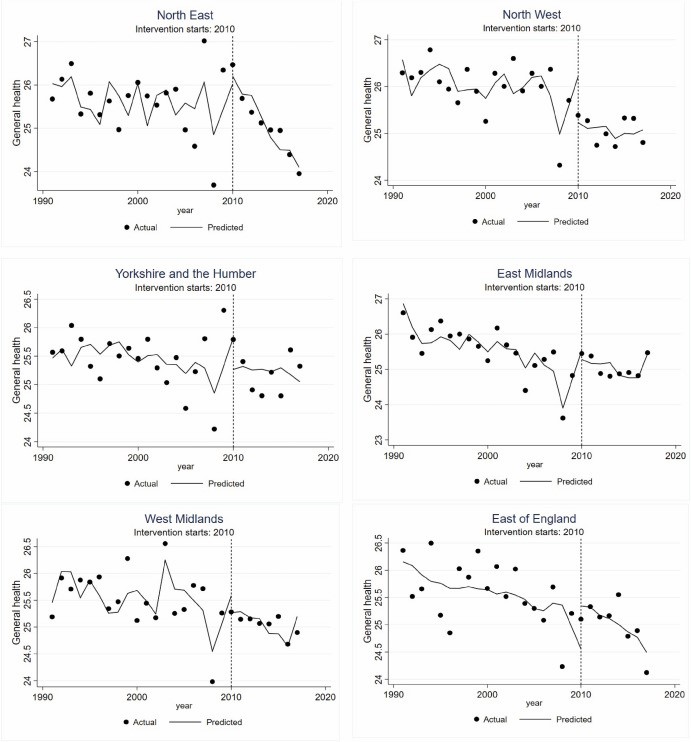
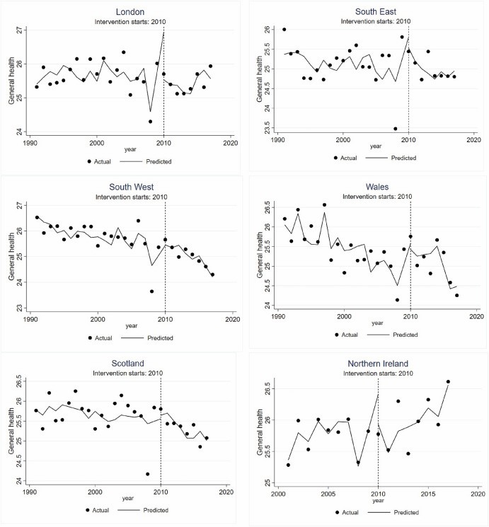
We used data from Understanding Society, and from its predecessor, the British Household Panel Survey, allowing us to look at data from 1991 to 2017. In other words, we were able to study young people’s mental health for 20 years before austerity and for 7 years after it began. We chose to focus on young people’s answers each year to the 12-item general health questionnaire (GHQ-12), rather than, for example, administrative data on mental health service use. There is still stigma around mental health, and some people find it difficult to access mental health services – a problem exacerbated by austerity – so health service use may not reflect need.
We also used data on local authority expenditure on education, transport, children’s services, and culture from 2004-17 from the Place Based Longitudinal Data Resource. This brings together datasets that track changes in the determinants of health and health outcomes, in places over time. The data show expenditure on children’s social services climbing after 2010, but spending on culture and education falling. The amount spent on transport falls less steeply or remains roughly the same.
To work out whether local government spending is contributing to the drop in young people’s mental health – and, if so, how much – we used interrupted time series analysis, looking at long-term trends before and after an event, to assess its effects. We also used a technique called Blinder-Oaxaca Decomposition. This was developed by economists Alan Blinder and Ronald Oaxaca to identify how much of an issue was due to characteristics seen in the dataset, and how much was due to factors that could not be captured by data such as the types of activities offered in youth clubs.
What we found
Our results showed a statistically significant reduction in mental health for young people living in the North East, Wales, and the East of England. The North East saw the largest reduction in funding and the greatest reduction in young people’s mental health.
Using the Blinder-Oaxaca Decomposition approach, we looked specifically at local government cuts related to services for children and young people: children’s social services, education, transport, and culture. Could they explain the observed decline in mental health? Here, the results showed a marginally statistically significant decrease in young people’s mental health between 2011 and 2017. Unobserved factors related to transport spending and children’s social services explained some of this gap.
Policy implications
Local authority spending on services for children and young people decreased by £325 million between 2010-11 and 2019-20, with the largest fall in the North East. Each region will have had its own challenges before this, which cuts may have exacerbated. The factors we couldn’t observe in the data, such as spending on transport or children’s services, significantly contribute to the gap in young people’s mental health.
In other words: place matters. The conditions in a region before austerity were important. In regions such as the North East, with fewer, poorer amenities, mental health outcomes were worse.
This research fits with a growing body of literature showing that funding cuts contribute to increasing health inequalities, and that the social determinants of health are a major contributor to mental health. Austerity can affect educational opportunities, transport (which could affect work opportunities), local infrastructure, and opportunities for social and cultural engagement. Many regions that were already struggling with supporting young people to reach their potential had the largest cuts to their budgets.
Government needs to address the mental health crisis in young people. Their services faced the biggest cuts from austerity, and failure to adequately invest in children and young people leads to substantial long term social, economic, and health costs. Investing in young people, though, has a high social return, supporting a more resilient economy.
Authors
Heather Brown
Heather Brown is Professor of Health Inequalities at Lancaster University
Ni Gao
Ni Gao is a Research Fellow in the Centre for Health Economics, York University
Wei Song
Wei Song is a PhD student and Research Trainee in the Centre for Health Economics, York University






